【導讀】晶振外置的RTC應用電路一般由RTC芯片、外置32k晶振、負載電容組成,最常見的電路原理圖大致如下,其中U1為RTC芯片,Y1為32k晶振,C1、C2為晶振負載電容。
晶振外置的RTC應用電路一般由RTC芯片、外置32k晶振、負載電容組成,最常見的電路原理圖大致如下,其中U1為RTC芯片,Y1為32k晶振,C1、C2為晶振負載電容。

生產中,引起RTC停振的原因大致如下:
1、當焊接晶振采用烙鐵手工焊接方式時,可能因為烙鐵溫度過高,碰觸到晶振本體而導致晶振內部石英晶片融化。
2、晶振內部石英晶片很薄,對來自外部的劇烈機械振動異常敏感,尤其是不可超聲波清洗與焊接。市面上的一般超聲波設備頻率與32k晶振頻率接近,容易引起晶振晶片共振而損壞晶振。 3、有些廠家的生產員工在清洗晶振時,使用硬毛刷暴力拖拽晶振引腳,容易使其拉斷,造成晶振接觸不良與漏氣,導致RTC不走時。 4、有些廠家即使沒有洗板工序,同樣也會有停振現象出現,問題可能出現在設計PCB時晶振引腳過于接近,在焊接時,引腳周圍聚集松香或雜質過多,可能引起晶振并聯電阻過小而停振。 5、有些工程師在排版晶振時,會把晶振本體接地,此時本地接地焊盤不宜過大,不然焊接時會因焊盤吸熱過多,更多熱量傳送到晶振內部,導致晶振損壞。 6、晶振排版布線時,晶振與RTC芯片距離不宜過長,應使晶振緊挨著RTC芯片。 7、晶振與負載電容共同維持了RTC的振蕩,當匹配電容過大時,同樣會出現晶振停振,我司推薦的負載電容一般不超過20pF。
RTC停振理論分析
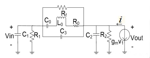
RTC內部振蕩器電路如下圖所示:

除了石英晶振外,mp、mn、Rf、C1、C2器件全部集成于芯片之中,考慮到OSCIN和OSCOUT引腳到地的等效電阻R1、R2,上圖的等效電路結構如下圖:

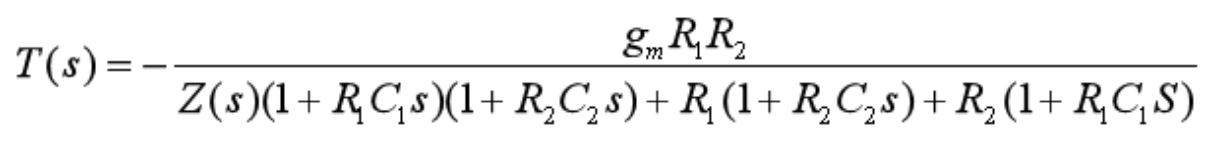
其s域的傳輸函數為:

取T(s)函數的實部為nRes(稱為振蕩負阻),并將C0、 L0、R0、Rf、gm1、C1、C2合適的參數代入,并假設R1=R2,以R1、R2為變量,畫出R1、R2和nRes的關系圖如下:

為了保證晶振可靠的振蕩,一般要求振蕩負阻大于5倍的晶振內串聯電阻R0。興威帆的RTC充分考慮了設計冗余,在外置諧振電容值合適的情況下,能穩(wěn)定可靠地振蕩工作。
文章來源:興威帆
免責聲明:本文為轉載文章,轉載此文目的在于傳遞更多信息,版權歸原作者所有。本文所用視頻、圖片、文字如涉及作品版權問題,請聯系小編進行處理。
推薦閱讀:




